二胡やるぞー 倉庫
二胡の奏法・構造分析・改良・琴行情報などデータ置き場
二胡やるぞー
「
本家ブログ
」、「
まとめサイト
」、「
倉庫
」 と三位一体運用中です。
2010年3月13日土曜日
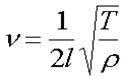
新・控制綿のなぜ 3 (駒から下の弦の振動と共鳴)
本家の記事 新・控制綿のなぜ 2 (実験 中間報告)
の続き
本家の記事
0 件のコメント:
コメントを投稿
次の投稿
前の投稿
ホーム
登録:
コメントの投稿 (Atom)
ホーム
ラベル
φ国情報
(4)
その他
(3)
二胡、Erhu、琴行、蘇州、千斤、駒
(110)
ブログ アーカイブ
►
2017
(5)
►
9月 2017
(1)
►
8月 2017
(3)
►
7月 2017
(1)
►
2012
(6)
►
9月 2012
(2)
►
7月 2012
(2)
►
6月 2012
(1)
►
1月 2012
(1)
►
2011
(8)
►
12月 2011
(7)
►
3月 2011
(1)
▼
2010
(63)
►
5月 2010
(1)
►
4月 2010
(6)
▼
3月 2010
(18)
地球ウォーカー「ひびけ世界へ!二胡の音色 中国・上海」
象牙の二胡
王根興 さん 出演動画
You tube お気に入り 再生リスト
王晓楠 天域胡琴 期待
新・控制綿のなぜ 7 (琴皮側を考える)
新・控制綿のなぜ 番外編 皮の控制綿の付け方?
価格帯分析 2
価格帯分析
新・控制綿のなぜ 6 (外弦と内弦の共鳴)
新・控制綿のなぜ 4 (駒から下の弦の振動と共鳴2)
新・控制綿のなぜ 3 (駒から下の弦の振動と共鳴)
皮を弦として考えてみると 見えてくるもの 2
G の謎
エンべローブから見えてくる物
新・控制綿のなぜ(素材について)
ウェイウェイ・ウーの二胡講座
小技、 固定千斤の調整
►
2月 2010
(18)
►
1月 2010
(20)
►
2009
(56)
►
12月 2009
(24)
►
11月 2009
(32)
二胡やるぞーRSS
読込中...
リンク
My YouTube Channel
My PISCA アルバム
Erhu-Analyze
マイブログ リスト
自己紹介
Unknown
詳細プロフィールを表示
0 件のコメント:
コメントを投稿